›
•
·
集團(tuan)新聞(wen) 行業(ye)動态(tai) 公示(shi)公告(gao)
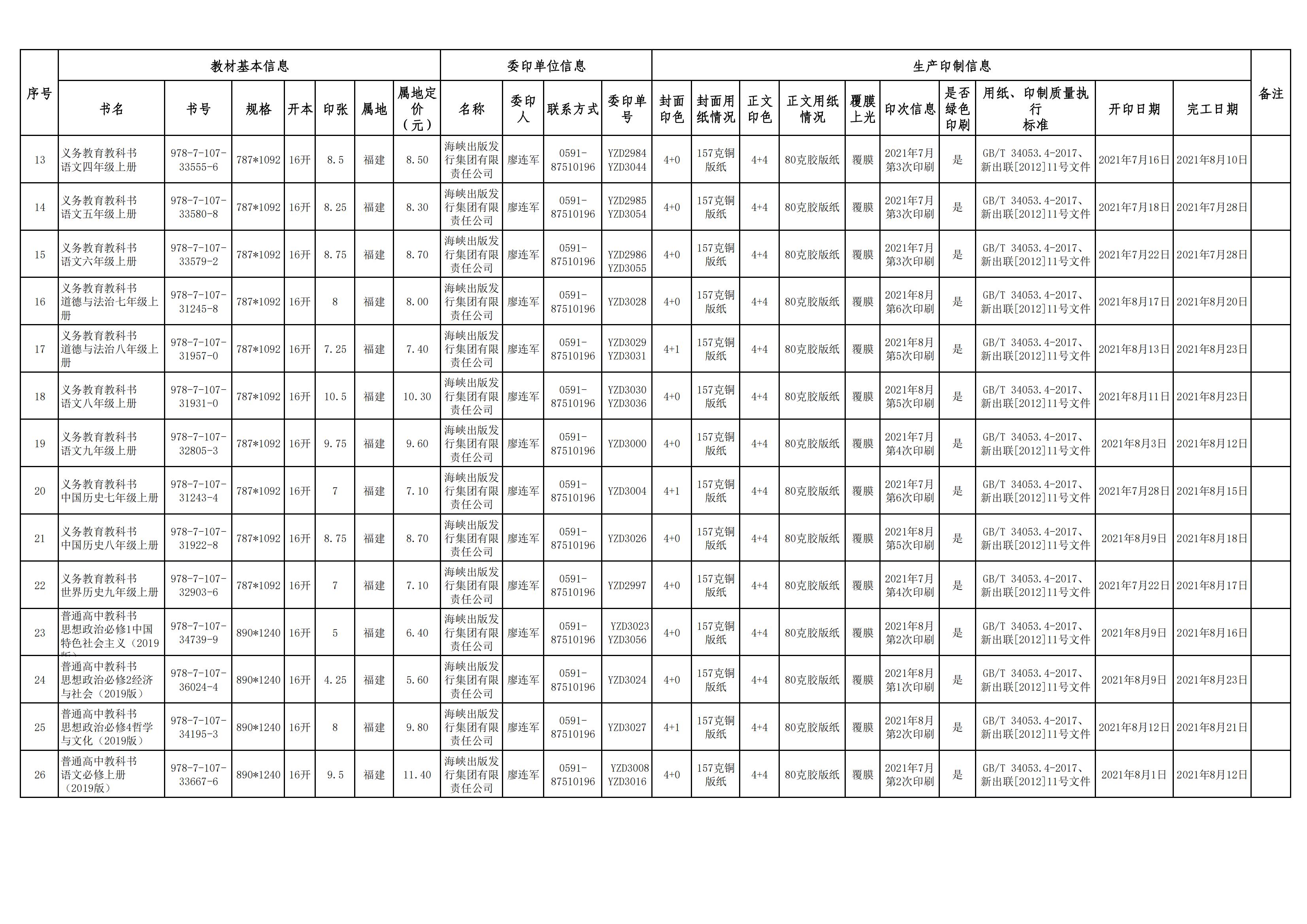
新華(hua)2021秋統(tong)編三(san)科教(jiao)材生(sheng)産印(yin)制信(xin)息明(ming)細表(biao)(承印(yin)🙉企業(ye)🏃🏿♀️➡️填報(bao)).xlsx
上一(yi)篇: 福(fu)建新(xin)華聯(lian)合印(yin)務集(ji)團有(you)限公(gong)司委(wei)外印(yin)刷及(ji)...
下一(yi)篇: 2022年(nian)春季(ji)統編(bian)三科(ke)教材(cai)生産(chan)印制(zhi)信息(xi)公示(shi)...
手機(ji)端
PC端(duan)